-
時薪1.1萬新台幣!美國機師「超狂薪資單」掀起全網暴動
2025/12/29 22:25外國社群平台瘋傳1張圖片,為1名任職美國航空(American Airlines)的機師薪資單截圖,上面顯示他年收入有45.8萬美元(約新台幣1452萬元),時薪換算約有360美...
-
三戰爆發、中國武統台灣? 專家分析網傳「盲眼龍婆」2026預言
2025/12/29 16:48隨著2025年邁入尾聲,保加利亞已故預言家「盲眼神婆」巴巴.萬加(Baba Vanga)生前留下諸多預測,再度被各國網友瘋傳,像是即將到來的2026年,她留下天災、地緣政治動盪、...
-
好神!台大學生證在埃及被國人撿到 失主驚︰台北掉4次都沒找回
2025/12/29 13:26自2023年開始,暱稱「全台最大LINE群」的社群平台Threads風靡台灣年輕族群,眾人無論大小事都會在上面分享,甚至遺失物也能即時尋獲。有台灣網友分享,自己近日到埃及古蹟旅遊...
-
保暖奇招?日本兔兔把自己「塞進竹輪內」萌翻一票人
2025/12/28 22:07近期日本部分地區受到強烈寒流影響,出現急速降溫、下雪等情況,讓許多民眾非必要不外出,寧願窩在溫暖的家中休息。1名飼主分享,愛兔自從收到好友送來的軟墊後,整天把自己塞進軟墊內,似乎...
-
日本部落客大讚「台灣親子丼」很美味 網見照全笑翻
2025/12/28 14:04許多外國遊客來台期間,喜歡品嘗各地特色料理、在地小吃,甚至將美食照或品嚐心得分享到社群媒體。近期1名日本部落客分享,自己終於再度吃到心心念念的美味「台灣親子丼」,然而其說法一度讓...
-
以為滅絕了!消失30年「扁頭貓」現蹤泰國 竟拍到母子同框
2025/12/28 13:25泰國南部近日證實重新發現失蹤近30年的稀有物種「扁頭貓」(Flat-headed cat),研究團隊在2024與2025年間多次記錄到其蹤跡,更拍下母貓帶領幼貓的影像。這項發現...
-
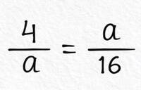
這題數學台灣人都會? 網笑:10秒內沒解答幼稚園重讀
2025/12/26 19:35Threads被戲稱是「台灣人的家庭群組」,先前數據統計網站SimilarWeb發布報告,台灣用戶以流量貢獻度高達21.83%,勇奪全球第1名。日前有位熱愛數學的德國網友發了一題...
-
比「追分成功」還狂!日網友從東京到長野完成「目黑蓮」
2025/12/26 18:49在台灣許多人會購買「追分」到「成功」的車票來祈求考試高分、追分成功。日前有位日本網友購買從東京都「目黑」站到長野縣「蓮」站的車票,並且在人氣J-pop團體Snow Man成員目黑...
-
中國演唱會場外設調解室? 網友:乍看以為是靈堂
2025/12/26 15:05演唱會有販售周邊不稀奇,現在居然連「調解室」都出現了!其奇特的外觀迅速在社群平台上引起話題,網友紛紛調侃「搭的像靈堂似的」、「這演唱會好莊嚴」,也有網友認真懷疑主辦單位是不是害怕...
-
扛兒子掛星星!美國父子10多年「溫馨耶誕傳統」暖哭萬人
2025/12/25 20:13一年一度的耶誕節,不僅是歡樂的冬季節慶,在許多西方國家更是與家人團圓的溫馨時刻。加密貨幣公司ConsenSys的DeFi產品負責人萊爾(Jordan Lyall)分享,自己與兒子...
-
他被「肌肉猛男」耶誕老人嚇哭! 日本漫畫家壞笑︰很可愛♡
2025/12/25 17:49許多人在孩童時代堅信,身穿紅衣、留著白色鬍子的「耶誕老人」(Santa Claus),會在耶誕夜乘坐馴鹿飛天雪橇,前往全世界送禮物。不過日本網路漫畫家犬好晶分享,自家老公童年遇到...
-
「寶可夢稀有神卡」將被拍賣 估值高約3.7億元
2025/12/25 14:57寶可夢卡牌深受全球不同年齡層的人喜愛,而知名網紅羅根保羅(Logan Paul)日前宣布將賣掉手中那張要價530萬美元(約新台幣1.66億元)的「皮卡丘插畫家」稀有寶可夢卡牌。這...
-
醫生怕爆!耶誕節前夕台灣人爆買日本「1500根鋼鐵香蕉」
2025/12/25 12:50位於日本廣島的製造商「IRON FACTORY IKEDA」,時常因為旗下開發全球獨創、外型十分奇特的商品「鋼鐵香蕉」(メタルバナナ)成為社群熱門話題。業者昨(24)日晚間透露,...
-
她發現「這款小廢物」超好玩 台日網友齊喊︰耶誕禮物想要它!
2025/12/24 20:16日本寒冬來臨,多地開始降下漫天飛雪,不少民眾紛紛跑到室外賞雪、進行冬季運動或堆各種造型雪人。1名住在北海道的女子分享,她日前下定決心,要買1個適合在冬天玩雪、外型為復活節島「摩艾...
-
「因為這國食物」被小紅書停權 網友爆笑:這次我挺
2025/12/24 17:21有位網友在社群平台Threads發文訴說他被小紅書停權了,因為他說英國食物很好吃,結果被小紅書網友檢舉散播假消息,台灣網友看到忍不住吐槽「不好意思,這波我挺網友」、「抱歉這次我挺...
-
送旅客應景驚喜? 日本成田機場出現「耶誕老人+巨大禮物箱」
2025/12/24 16:44隨著耶誕節將至,許多公司行號紛紛推出各種應景產品、宣傳廣告或特別活動。有台灣旅客分享,自己昨(23)日在日本成田機場搭機,沒想到在客機起飛前,發現停機坪出現「耶誕老人」與「馴鹿」...
-
英國「這枚」面額50便士硬幣 身價竟暴漲279倍原因曝
2025/12/23 22:28你手中的零錢可能藏著意想不到的財富!一枚於2009年發行、面額僅50便士(約新台幣21元)的「邱園紀念硬幣(Kew Gardens 50p)」,因發行量稀少且設計獨特,拍賣網站上...
-
破金氏紀錄! 德國男瘋藏上萬顆「耶誕水晶球」 背後浪漫初衷曝
2025/12/23 20:35耶誕佳節將至,許多人喜歡擺放水晶球增添氣氛,但德國有一位「超級水晶球狂人」將這份愛好發揮到了極致;他擁有超過1萬1千顆水晶球,這驚人的數量讓他穩坐金氏世界紀錄「全球最多耶誕水晶球...
-
數名J-POP大咖與高市早苗會談 日網神回︰剛好能組新樂團!
2025/12/23 18:55日本首相高市早苗上任後積極推動內容與文化產業,昨(22)日更是邀請J-POP、ACG(動畫、漫畫、遊戲)業界多位重量級人士,一起前往首相官邸交流,眾星雲集的不可思議會談畫面,引發...
-
Telegram創辦人捐精擁百名子女!加碼「分遺產」吸眾多女性瘋搶
2025/12/23 12:00想生下億萬富翁的孩子嗎?這在俄羅斯已不再是夢想。通訊軟體Telegram創辦人度洛夫(Pavel Durov)不僅公開承認自己透過捐精在全球擁有超過100名具血緣關係的子女,近...
